Tuesday, March 3, 2015

Teach Fzx Tuesday - NET force and NET impulse and NET work

Newton, in the late 1600s, finally understood the basic laws governing motion but we still get it wrong three centuries later.  Newton's Second Law of Motion originally went something like


"the change in momentum of an object is produced by (and equal to) the net impulse applied."  Except Newton didn't use anything like "NET impulse" even though that's what he meant.

Sometimes textbooks get it basically right



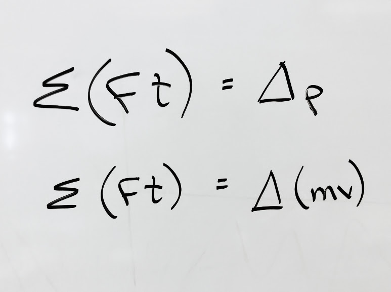
They should use ∑F to symbolize net force.
Students may do it if we write it.

but they often get it wrong by missing the NET.

"force is the rate of change of momentum"
NET force!

"impulse = change in momentum"
NET impulse!

Note that the above pictures were taken from the impulse-momentum section of three modern textbooks. For some reason, we don't often state Newton's Second Law that way any more.  We use this form instead


where a NET force is again necessary but mass is assumed to be constant - not true for a fuel-burning rocket or even a car.

But we still get it wrong on a regular basis.

Correctly stated but the NET was dropped for the equation

"force"

Inconsistency and "NET" neglect is even worse when we get to what is often called the work (kinetic) energy theorem.

NET work = change in KINETIC energy

"A force"

NET neglect again

It's just plain wrong.  Newton got it but he didn't feel the need to use the term "net" for force or impulse for his purposes.  (Net work and kinetic energy are related ideas from the 1800s and not really part of Newton's work.)

My students aren't Isaac Newton, however, and don't see the need to calculate the NET force or the NET impulse or the NET work if it's not written in the equation.  They forget it even when it's there.  Without the NET, my students think

          "I can just shove the first force I see into the 2nd Law and find acceleration."
NET force is necessary

          "Forces cause acceleration."
Only NET forces.
Many forces are balanced by others.

          "Any impulse equals momentum change."
Only NET impulses.
Sometimes several impulses are combined.

          "work causes change in kinetic energy"
Sometimes work causes change in gravitation PE.
Sometimes it causes change in elastic PE.
Sometimes it produces heat.
Only NET work produces changes in KE.

When Newton's language and approach don't work for our students, we must adapt.  When textbooks are not faithful to the physics and aren't even consistent with themselves, we must do better.

It's the NET work and NET force and NET impulse that cause things.  Let's get it right even if Newton didn't need it and textbooks miss the point.

No comments:

Post a Comment